Home | Mathematics |     Share This Page

 Quadratic Equation Solver

P. Lutus -- Message Page --

Copyright © 2003, P. Lutus

Background

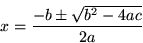
For the second-order polynomial equation:

The following solution exists:

Solutions using numerical methods are somewhat unreliable for several reasons including limited precision, overflow and underflow, and some boundary conditions. If you have access to a symbolic solver (Mathematica, Maple, etc.), the results will be more useful, but this Java solver will provide numerical real and imaginary roots for most cases.

Main Page

Home | Mathematics |     Share This Page